01) Uma folha de papelão tem a forma e as dimensões indicadas na figura. Qual é a área dessa folha?
02) No paralelogramo ABCD a seguir.
a) a medida x indicada.
b) a área do paralelogramo ABCD.
c) a área do triângulo AND.
d) a área do quadrilátero BCDN.
03) determine a medida x indicada no losango e calcule a área da figura.
04) Você quer fazer uma pipa em forma de losango e tem varetas que medem 76 cm e 50 cm. Quantos centímetros quadrados de papel de seda você vai usar para fazer essa pipa?
05) Em um losango, cada lado mede 30 cm. Sabendo que a diagonal maior mede 48 cm, determine a área desse losango.
06) Quantos centímetros quadrados de vidro seriam gastos para fazer um vitral colorido, na forma de losango, com as medidas indicadas na figura?
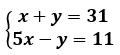
07) As medidas das diagonais de um losango correspondem à solução do sistema a seguir.
Determine a área desse losango.
08) Usando as razões trigonométricas num triângulo retângulo, determine as medidas x e y indicadas na figura, dadas em centímetros. Em seguida, determine a área do losango ABCD.
09) Sabendo que as medidas das diagonais de um losango correspondem às raízes da equação x² - 13x + 40 = 0, determine a área desse losango.
PARA VOCÊ SABER MAIS SOBRE ÁREA DO PARALELPGRAMO E DO LOSANGO ACESSE O LINK ABAIXO E ASSISTA OS VÍDEOS.
https://www.youtube.com/channel/UCfcQrTTkW_6jYZosIRh6j7g
01) 2580 cm²
02) a) 28,2 cm b) 1692 cm² c) 400 cm² d) 1292 cm²
03) x = 2V5 e área = 80
04) 1875 cm²
05) 864 cm²
06) 1925 cm²
07) 84 unidades de área
08) x = 20V3 cm y = 20 cm; área = 800V3 cm²
09) 20 unidades de área.








Nenhum comentário:
Postar um comentário