01) Utilizando o método da adição, determine a solução de cada um dos seguintes sistemas de equações do 1º grau nas incógnitas x e y:
02) Usando o método mais conveniente, determine a solução de cada um dos sistemas de equações :
03) Calcule o valor do número real representado pela letra z na igualdade x - 2y + z = - 12, sabendo que:
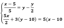
04) O par ordenado ( x, y) é a solução do sistema:
Nessas condições, determine o valor de:
a) x.y
b) x² + y²
c) x/y
05) É dado o sistema de equações:
Sendo ( x, y ) a solução do sistema, calcule y³ - x³.
06) Sabendo que x + y = 15, x + x = 11 e y + z = 6, determine o valor da soma x + y + z.
PARA VOCÊ SABER MAIS SOBRE SISTEMAS DE DUAS EQUAÇÕES DO PRIMEIRO GRAU ACESSE O LINK ABAIXO E ASSISTA OS VÍDEOS.
https://www.youtube.com/channel/UCfcQrTTkW_6jYZosIRh6j7g
GABARITO:
01) a) ( 25,7)
b)(6,16/3)
c) (1,8/3)
d) ( 2, 1 )
e) ( 4,-1)
f) ( 9, 6)
g) ( 2,3)
h) ( -4, -4 )
02)
a) ( 11/2, 1/2)
b) ( 2, 3 )
c) ( 20, 20 )
03) z = - 6
04)
a) 200
b) 500
c) 2
05) 0,387
06) 16





Nenhum comentário:
Postar um comentário