Exercícios sobre medidas de ângulos internos e externos dos triângulos somas dos ângulos.

01) Determine a medida x indicada em cada um dos seguintes triângulos.
















02) Qual é o valor da medida x indicada na figura seguinte?



03) Determine as medidas dos ângulos internos assinalados no triângulo seguinte.


04) Na figura seguinte, determine as medidas x e y indicadas.


05) Na figura seguinte, temos que BC || MN. Nessas condições, determine as medidas a, b e c indicadas na figura.



06) Em um triângulo ABC, a medida do ângulo externo no vértice C mede 126°. Sabendo que a medida do ângulo interno  é expressa por 2x e a medida do ângulo interno B é expressa por x - 12°, determine as medidas dos três ângulo internos desse triângulo.


Respostas:

01) a) 40°         b) 20°               c) 71°                      d) 20°

02) x = 45°

03) x = 35°

04) x = 52°    y = 38°

05) a = 38°                b = 68°               c = 74°  correspondentes

06) x = 46°



Para você saber mais sobre somas dos ângulos internos de um triângulo acesse o link e assista o vídeo.








Exercícios sobre equações do segundo grau completas com respostas.

 01) As equações seguintes estão escritas na forma reduzida. usando a fórmula resolutiva, determine o conjunto solução de cada equação no conjunto IR.

a) x² - 7x + 6 = 0

b) x² - x - 12 = 0

c) x² - 3x - 28 = 0

d) x² + 12x + 36 = 0

e) 6x² - x - 1 = 0

f) 9x² + 2x + 1 = 0

g) 25x² - 10x + 1 = 0


02) Resolva no conjunto IR, as seguintes equações:

a) x² - 2x = 2x - 4

b) x² - 2x = x + 4

c) x² + 10 = 9x - 10

d) 6x² + 3x = 1 + 2x

e) 9x² + 3x + 1 = 4x²

f) 9x² - 1 = 3x - x²


03) Quantos números reais inteiros existem entre as raízes da equação x² - 2x - 15 = 0?


04) Veja estas equações:

I - x² - 12x = 85                   e II - x² + 51 = 20x

Essas equações têm uma raiz real comum. determine a soma das raízes não comuns.


05) Uma das raízes da equação 4x² - 21x + 20 = 0 é um número fracionário. Qual é a soma dos termos dessa fração? ( A deve ser simplificada).


06) Sendo p e q as raízes reais da equação x² - 7x + 10 = 0, qual é o valor da expressão 



07) Sendo U = IR, determine o conjunto solução de cada uma das seguintes equações do 2º grau:

a) ( x + 2 )² + x = 0

b) 3x² = 2(x - 1)² + 3

c) x(x + 11) ) + 2 ( x + 21 ) = 0

d) 6( x² - 1) - 14 = 5x² + x


08) Considere a expressão algébrica 32 - [ 8x + ( 8 - 2x ) ( 4 - x )]. determine os valores reais de x para que o valor numérico dessa expressão seja 8.


Respostas:

01) 

a) { 1,6}

b) { - 3,4}

c) { - 4, 7}

d) { -6}

e) {-1/3, 1/2 }

f) vazio

g) {1/3,2}

h) {1/5}


02) 

a) {2}

b) {-1,4}

c) {4,5}

d) {-1/2,1/3}

e) vazio

f) {-1/5,1/2}


03) Como as raízes são - 3 e 5, existem 7 números inteiros: -2,-1,0,1,2,3 e 4.


04) A raiz comum é 17, e as não comuns são - 5 e 3. Logo - 5 + 3 = -2


05) A raiz fracionária 5/4; logo, 5 + 5 = 9


06) 57


07) 

a) { - 4,-1}

b) { - 5, 1 }

c) { - 7,-6}

d) { - 4,5}


08) 2


Exercícios sobre ordem crescente e decrescente dos números naturais, comparação maior ou menor que e reta numerada

01) Represente usando símbolos matemáticos:

a) 3 é menor que 7.  .............................      d) a é igual a 0.  ..............................

b) 6 é menor que 0.  ............................       e) 4 é diferente de 10. .........................

c) x é menor 3. ....................................       f) y é menor que 27. ............................


02) Escreva, usando palavras, como se lêem as sentenças:




03) Complete usando =, < ou >:

a) 6 + 1 ...................... 6 x 1                 d) 100 : 2 ............... 100

b) 1.001 .................... 1.010                 e) 10.000 - 1.000 .............. 10.000 - 100

c) 1.000 x 2 .............. 2.000                  f) 50 x 4 ............... 400 : 2


04) Assinale os números que são menores do que 408:

(    ) 418                         (     ) 840                             (     ) 409

(    ) 208                         (     ) 388                             (     ) 231


05) Assinale  os números que são maiores do que 230:

(     ) 320                         (     ) 430                            (     ) 229       

(     ) 203                         (     ) 303                            (     ) 231


06) Se 1.308 < 1. 327 e 1.327 < 1.400, então 1. 308.............. 1.400.


07) Se x e y representam números naturais, 500 > x  e x > y, então 500 ................ y.


08) Escreva os números na ordem crescente:

a) 400, 410. 399, 299, 401

b) 1.029, 989, 1.349, 1.049


09) Escreva na ordem decrescente:

a) 809, 788, 980, 890, 808, 880

b) 998, 1.002, 1.200, 1.100, 1001

10) Represente os números 8, 10 e 13 na reta numerada.



11) Escreva os números correspondente aos pontos assinalados. Atenção: esses números devem se consecutivos:










Exercícios sobre decomposição de números naturais em ordem e como se lê os números - unidades, dezenas centenas ........

01) Decomponha o número 6. 490 de acordo com as ordens.


02) Escreva como se lê o número 35.472.168.


03) Quantas unidades há em:

a) uma dezena?  ..................     b) uma centena? .................   c) um milhar? ...................


04) Quantas dezenas há em:

a) uma centena? ....................  b) duas centenas? .................. c) um milhar? ...................


05) Adriano escreveu o número 74.932 na lousa.

a) Qual o algarismo das unidades simples? ............ E das unidades de milhar? ...............

b) Qual o algarismo das centenas? .............   E das dezenas de milhar? ...................

c) Nu número escrito, a que classe pertence o algarismo 4? ................ E o algarismos 2? ....................


06) Decomponha de acordo com as ordens:

a) 12   ...........................                  c) 2.407 .............................................

b) 356 ......................................      d) 32.915 ............................................


07) Escreva como se lê cada um dos números:

a) 346 ................................................................................................................................

b) 1.998 ............................................................................................................................

c) 128.491 ........................................................................................................................

..........................................................................................................................................

d) 3.425.543 ....................................................................................................................

.........................................................................................................................................


08) Escreva o número:

a) seis dezenas e cinco unidades. ...........................................

b) oito centenas, quatro dezenas e três unidades ....................................

c) cinquenta e nove mil e quarenta e seis. ...............................................

d) trezentos e cinquenta mil, quinhentos e sete. .......................................


09) Escreva todos os números de dois algarismos menores que 100, em que o algarismo das unidades seja 3.  ......................................................................................................................


10) Quantas vezes usamos o algarismo 4 quando escrevemos todos os números de 1 a 47?

...................................


11) Indique a ordem de cada algarismo e o nome dessa ordem nas escritas:












12) Decomponha os números ( use três formas):

a) 972

b) 4.783

c) 19.806

d) 30.002


13) Componha o número correspondente a:

a) 5.000 + 600 + 30 + 4 = ..................................

b) 8.000 + 500 + 3 = .........................................

c) 8.000 + 50 + 3 = ............................................

d) 2.000 + 70 = ..............................................


14) Escreva o número correspondente a cada decomposição:

a) 6 x 1.000 + 2 x 100 + 3 x 10 + 8 = ............................

b) 5 x 100 + 3 = ........................................

c) 5 x 10.000 + 3 = ....................................

d) 3 x 1.000 + 4 x 10 + 7 = ..............................

15) Complete a tabela:








16) Separe os algarismos de cada número em classe e indique o nome de cada classe:

a) 25.638

b) 3.023.592


17) No quadro, pinte, com a mesma cor, as escritas que representam o mesmo número:









18) Complete a tabela escrevendo os números numa forma composta:







19) Ligue cada algarismo do número 88.888 ao nome da ordem que ele ocupa:








20) Um feirante tem em sua barraca 5 caixas com 100 laranjas em cada uma, 3 caixas com 10 abacaxis em cada uma e 6 melancias. Ele tem .....................frutas para vender.


21) O número do bilhete premiado num sorteio da Loteria Federal foi 6 dezenas de milhar, 4 centenas, 8 dezenas e 3 unidades. O número sorteado foi .............................. .


Respostas:

01) 6.000 + 400 + 90

02) trinta e cinco milhões, quatrocentos e setenta e dois mil, cento e sessenta e oito.

03) a) 10                      b) 100                        c) 1.000

04) a) 10                      b) 20                          c) 100

05) a) 2 e 4                   b) 9 e 7                           c) classe dos milhões; classe das unidades

06) 

a) 10 + 2        b) 300 + 50 + 6      c) 2.000 + 400 + 7    d) 30.000 + 2.000 + 900 + 10 + 5

07) a) trezentos e quarenta e seis

     b) mil novecentos e noventa e oito

c) cento e vinte e oito mil, quatrocentos e noventa e um

d) três milhões , quatrocentos e vinte e cinco mil, quinhentos e quarenta e três

08) a) 65             b) 843               c) 59.046                     d) 350.507

09) 13; 23; 33; 43; 53; 63; 73; 83; 93

10) 13 vezes

11) 












12) 

a)   900 + 70 + 2            9 centenas mais 7 dezenas mais 2 unidades      9 x 100 + 7 x 10 + 2

b) 4.000 + 700 + 80 + 3       

4 unidades de milhar mais 7 centenas mais 8 dezenas mais 3 unidades

4 x 1.000 + 7 x 100 + 8 x 10 + 3

c) 10.000 + 9.000 + 800 + 6

1 dezena de milhar mais 9 unidades de milhar mais 8 centenas mais 6 unidades

1 x 10.00 + 9 x 1.000 + 8 x 100 + 6

d) 30.000 + 2                3 dezenas de milhar mais 2 unidades           3 x 10.000 + 2

13) a) 5.634           b) 8.503                  c) 8.053                 d) 2.070

14) a) 6. 238          b) 503                     c) 50.003               d) 3.047

15) 








16) a) 25 = classe dos milhares                 638= classe das unidades simples

       b) 3 = classe dos milhões          023 classe dos milhares                 592 classe das unidades

17) ( a, b, c, d)   tem mesmo valor            e    (e, f ) tem mesmo valor

18) 


      





19) 







20) 536

21) 60.483




Exercícios sobre equações do 1º grau e problemas de equações com respostas

 01) Resolver as seguintes equações do 1º grau com uma incógnita, sendo U = IR:

a) 18x - 25 = 65

b) 9x = 21 - 5x

c) 13x - 11 = 15x + 21

d) 23x - 16 = 14 - 17x

e) 3(x + 5 ) - ( x + 7 ) = 4(1 - x )

f) 10y - 5( 1 + y ) = 3 ( 2y - 1 ) - 20


02) Resolva:









03) Em uma cidade do interior, há apenas um jornal de circulação diária. Uma pesquisa constatou que 5/8 dos habitantes da cidade liam diariamente o jornal enquanto 17.400 habitantes não liam o jornal. Quantos habitantes tem essa cidade?


04) Toda produção mensal de uma fábrica foi vendida a três lojas. Para a loja A. Foi vendida a metade da produção, para a loja B, foram vendidos 2/5 da produção e para a loja C, foram vendidas 2.500 unidades. Qual foi a produção mensal dessa fábrica?


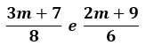
05) Determine o número real m para que as expressões 


sejam iguais.


06) Em uma partida de basquete, Marcelo acertou x arremessos de 3 pontos e ( x+ 2 ) arremessos de 2 pontos. Se Marcelo marcou 29 pontos nesse jogo, quantos arremessos de 3 pontos ele acertou?


07) Em um estacionamento há 21 veículos, entre carros e motos, num total de 66 rodas. quantos carros e quantas motos há nesse estacionamento?


08) Ao começar uma festa, o número de mulheres era o triplo do número de homens. Durante a festa, 75 mulheres se foram e 150 homens chegaram. Ao terminar a festa. O número de homens era o dobro do número de mulheres. Quantas pessoas havia ao terminar a festa?


Respostas: 

01) 

a) {5}              

b) {3/2}            

c) { - 16 }              

d) { 3/4 }           

e) {-2/3}       

f) { 18}

02) 

a) { 1 }              

b) { - 1 }        

c) { 14/15 }           

d) { - 21 }

03) 46.400 habitantes

04) 25.000 unidades

05) m = 15

06) 5 arremessos de três pontos

07 12 carros

08) 315 pessoas