Exercícios sobre ângulos agudo, reto e obtuso e valor de x para 8º ano - Geometria

01) Na figura abaixo, destaque os ângulos convexos que você pode encontrar. 

02) Observe a figura e complete o que se pede: 


a) med(DÂC).  .................

b) med(DÂC).  .................

c) med(DÂC).  .................

d) med(DÂC).  .................

e) med(DÂC).  .................

f) med(DÂC) .  .................


03) Identifique como reto, agudo ou obtuso os ângulos:


























04) Observe a figura abaixo e identifique: 


a) os ângulos retos. ................................

b) os ângulos agudos. .............................

c) os ângulos obtusos. ............................



05) O ângulo formado pelos ponteiros do relógio abaixo é agudo, reto ou obtuso? ............


06) ) Ângulo formado pelo ponteiros de um relógio às 15 horas é agudo, reto ou obtuso? .............


07) Observe as figuras abaixo e responda: 


Qual a medida do ângulo AÔB? ..................

Qual o valor de x? .................

Qual a medida do ângulo AÔC? ..................

Qual a medida do ângulo BÔC? ..................




Qual a medida do ângulo AÔC? ..............

Qual o valor de x? ..................

Qual a medida do ângulo AÔB? ..............

Qual a medida do ângulo BÔC? ..............



08) Nas figuras abaixo, calcule, em graus, o valor de x.














09) lembrando que um ângulo de uma volta mede 360°, determine o valor de m na figura abaixo.








10) Calcule, em graus, as medidas a e b na figura, sabendo que a = 2x -12° e b = x + 48°.






Respostas:

01) AÔB,  AÔC,  BÔC

02) a) 30°            b) 30°         c) 50°              d) 60°            e) 80°

03) a) Agudo             b) Reto                  c) Reto                d) Obtuso

04) a) EÂB  e AÊD             b) BCD             c) ABC e CDE

05) Obtuso

06) Reto

07) a) AÔB = 90° e x = 30°       AÔC = 60°         e    BÔC = 30°

      b) AÔC= 180° e x = 35°       AÔB = 144°       e  BÔC = 36°

08) a) 55°             b) 110°         c) 45°              d) 25°

09) 55°

10) a = 24°  e b = 66°


Exercícios sobre reta, ponto e segmentos com respostas

01) Dados os pontos A, B, C e D abaixo, trace todas as semi-retas com origem em A e que passem por um dos outros pontos. 

02) Observe as figuras e responda: 

a) Quantas semi-retas com origem em B você encontra na figura? ..............................

Quais são essas semi-retas?..................




b) Quantas semi-retas com origem em B você encontra na figura? ..............................

                                                                                    Quais são essas semi-retas?..................



03) Quais os segmentos que podemos obter considerando as figuras seguintes?













04) Responda:

a) Quando dois segmentos são congruentes?

b) O que é ponto médio de um segmento?


05) Na figura abaixo, B é o ponto médio do segmento AC. Sabendo que mde(AB) = 5 cm, determine:


a) med(AC). ................................

b) med(BC). ...............................




06) Desenhe um segmento AB tal que med (AB) = 12 cm. Considere um ponto C, entre A e B, tal que med(CB) = 4 cm. Sendo M o ponto médio de AC e N o ponto médio de CB, determine a medida de MN.


Respostas:

01) 



02) 

a) 2   e  BA e BC

b) OA  e OB   O ponto O

03) a) AB, AC, BC                            b) AB, AD, BC, BD, CD, CE, DE

c) AB, BC, CD, DE, EA                   d) VA, VB, VC, VD, AB, BC, CD, DA 

04) a) Quando eles têm a mesma medida, tomada na mesma unidade.

b) É o ponto que divide esse segmento em dois outros segmentos congruentes.

05) a) 10 cm                      b) 5 cm

06) 

med(MN) = 6 cm                         




Exercícios sobre retas paralelas e concorrentes, ponto e plano com respostas

01) Dados dois pontos distintos, A e B, responda:

a) Quantas retas você pode traçar passando pelo ponto A? ....................................

b) Quantas retas você pode traçar passando pelo ponto B? ....................................

c) Quantas retas você pode traçar passando pelo ponto A e B ao mesmo tempo? ...................


02) Dados os pontos M, N e P da figura abaixo, responda:

a) Quantas retas você pode traçar passando por 2 desses pontos? .......................

b) Quantas retas você pode traçar passando pelos 3 pontos ao mesmo tempo? ................



03) Na figura abaixo, determine os pares de retas:


a) paralelas.   ..............................

b) concorrentes. .........................




04) Na figura seguinte, que representa um bloco retangular, qual a posição relativa ocupada pelos pares de retas:

a) a e b ? .....................................

b) a e d? .......................................

c) b e c? .......................................

d) b e d ? ......................................


05) A figura abaixo nos mostra uma parte do mapa de uma cidade, com algumas ruas e avenidas em destaque. Nesta figura, qual a posição ocupada pelos pares de retas que representam:

a) a avenida Brasil e avenida América? ...................

b) a avenida América e a rua 2? .............................

c) a rua 1 e a rua 2? .................................

d) a avenida Central e a rua 1? ..............................

e) a avenida Brasil e a rua 1? ................................




Respostas: 

01) 

a) Infinitas             

b) Infinitas                               

c) Uma

02) 

a) 3 retas                  

b) Nenhuma

03) 

a) a e b;  c e d                              

b) a e c;    a e d;            b e c;     b e d

04) 

a) paralelas                 

b) concorrentes                 

c) paralelas                

d) concorrentes

05) 

a) concorrentes          

b) concorrentes                 

c) paralelas                 

d) paralelas

e) concorrentes


Exercícios sobre problemas de sistemas de duas equações do primeiro grau com respostas

01) A soma de dois números é 207 e a diferença entre eles é 61. Quais são esses dois números?


02) Na classe onde Paulo estuda há 45 alunos, entre meninos e meninas. Num determinado dia, faltaram 3 meninos: o número de meninos ficou então igual ao número de meninas. Quantos meninos e quantas meninas há na classe de Paulo? 


03) Em um quintal há 40 animais, entre coelhos e galinhas. Esses animais perfazem um total de 110 pés. Quantos coelhos e quantas galinhas há nesse quintal?


04) Uma fração é equivalente a 5/2 e a diferença entre o numerador e o denominador dessa fração é 15. Qual é a fração?


05) Um pedaço de fio de 135 cm de comprimento foi dividido em dois pedaços de tal forma que o pedaço menor tem um comprimento igual à metade do pedaço maior. Qual é o comprimento de cada pedaço de fio?


06) Em um acampamento de férias há 72 pessoas, entre alunos e professores. Sabe-se que cada professor é responsável por 8 alunos. Quantos alunos e quantos professores há nesse acampamento?


07) Em um jogo de basquete Júnior marcou 29 pontos. Sabendo-se que, entre arremessos de 3 pontos e arremessos de 2 pontos, ele acertou 12 arremessos, quantos arremessos de 3 pontos e quantos de 2 pontos ele acertou?


08) Gabriela respondeu a 50 questões de uma prova. Pelo regulamento, o alunos deve ganhar 5 pontos por questão certa e perder 3 pontos por questão errada. Como ela fez um total de 130 pontos, quantas questões acertou e quantas errou?


09) Na compra de um televisor, Maurício vai pagar 312 reais, entre o preço normal e os juros. Sabe-se que os juros correspondem a 30% do preço normal do televisor. Nessas condições, qual é o preço normal desse televisor?


10) Aplique o método que for mais conveniente, resolva os seguintes sistemas de equações do 1º grau:






PARA VOCÊ SABER MAIS SOBRE SISTEMAS DE DUAS EQUAÇÕES DO 1º GRAU ACESSE OS LINKS ABAIXO E ASSISTA OS VÍDEOS:


https://youtu.be/N_CaqKZiVPg

https://youtu.be/kTBrmEeXFCU

https://youtu.be/apHMYeYTmBU

https://youtu.be/P1THkiSEXxs


Respostas:

01) 134 e 73

02) 24 meninos e 21 meninas

03) 15 coelhos e 25 galinhas

04) A fração procurada é 25/10

05) maior 90 cm e menor 45 cm

06) 64 alunos e 8 professores

07) 5 arremessos de 3 pontos e 7 arremessos de 2 pontos

08) acertou 35 questões e errou 15 questões

09) 240 reais

10) a) (12 e 3)       b) ( 3 e 4 )                    c) ( 6 e 3 )








Exercícios sobre valor numérico de uma expressão algébrica com gabarito para 8º ano Ensino Fundamental

01) Para x = - 8 e y = - 5, determine o valor numérico da expressão  9x - 13 y . 


02) Determine o valor numérico da expressão 2x² - xy quando x = -2 e y = 4.


03) Sabendo que a = 1/2 e b= 1/4, determine o valor numérico de 5b - a²


04) Dada a expressão 6x² - 5x - 1, determine seu valor numérico quando x = - 3.


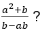
05) Qual é o valor numérico da expressão

 quando a = 4?


06) Determine o valor numérico de p² - mp + 2m quando p = 1,2 e m = 1,7.


07) Sendo x = - 11 e y = 5, determine o valor numérico de cada uma das expressões:




08) Determine o valor numérico da expressão algébrica

quando x = 10 e y = 0,1.


09) Sendo a = 4 e b = - 8, qual é o valor numérico de 



10) Determine o valor numérico da expressão


quando x = 1/2 e y = 8.


11) Sendo x = - 1, qual é o valor numérico da expressão 




12) Um chefe de departamento de promoção de vendas verifica que quanto mais ele anuncia na televisão mais ele vende. Nota, também que o número de mercadorias vendidas durante a semana é representada pela expressão algébrica

, onde x representa o número de comerciais de televisão durante a semana. Qual será o número de mercadorias vendidas se foram feitos 60 comerciais de televisão durante a semana?

13) Observando a figura abaixo, responda o que se pede: 



a) Qual é a expressão algébrica que representa a área da região colorida da figura?


b) Qual é o valor numérico dessa expressão para a = 8, b = 3 e c = 5?




Respostas:

01) - 7

02) + 16

03) 1

04) 68

05) -23/4

06) 0,08

07) a) + 96     b) +8/3

08) 7

09) 1/3

10) - 30

11) + 1

12) 240

13) a) a² - b.c                       b) 49




Exercícios sobre expressões algébricas escrevendo linguagem simbólica classificação

01) Usando uma letra, procure indicar:

a) o quadrado de um número real.  ..................................

b) 0 cubo de um número real. ..........................................

c) a raiz quadrada de um número real. ............................

d) a quinta potência de um número real. ..........................

e) o triplo de um número real. .........................................

f) a metade de um número real. ........................................

g) A quinta parte de um número real. ..............................


02) Usando duas variáveis diferentes, procure indicar:

a) a soma de dois números reais. ....................................

b) o produto de dois números reais. ...............................

c) a diferença entre dois números reais. ..........................

d) o triplo de um número real adicionado a um outro número real. .............................

e) a soma dos cubos de dois números reais. ...................................

f) o quadrado da soma de dois números reais. ...............................

g) a raiz quadrada da diferença entre dois números reais. ........................


03) Um livro custa x reais e um caderno custa y reais. Escreva a expressão algébrica que representa a quantia que você gastou quando comprou um livro e três cadernos. ....................................


04) Em um jogo de basquete, você acertou x arremessos de 3 pontos e y arremessos de 2 pontos. Escreva a expressão algébrica que representa a quantia de pontos que você marcou nesse jogo. ...............................


05) Qual é a expressão algébrica que representa o perímetro da figura seguinte? ...........................

06) Para um demonstração de ginástica, um professor de Educação Física formou 20 grupos, colocando x alunos em cada grupo. Sabendo que havia 7 alunos que serviam como guias para os grupos, escreva a expressão algébrica que representa a quantidade de alunos que vão participar dessa demonstração. ...................................


07) Um caneta custa x reais. Maria Carolina comprou 5 canetas e deu 10 reais para pagar. Escreva a expressão algébrica que representa a quantia que Maria Carolina deve receber de troco. ....................


08) Qual é a expressão algébrica que representa o perímetro da figura seguinte? ................................

09) Um colégio tem ao todo, 35 professores. destes y professore são de sexo masculino. Qual é expressão algébrica que representa a quantidade de professores do sexo feminino que trabalham nesse colégio?  ..................................


10) Observe a sequência n; n + 3; n + 6; ... Usando uma expressão algébrica, como podemos representar o próximo número dessa sequência? ......................................


11) Qual é a expressão algébrica que representa a área da figura abaixo?


Área do quadrado 1 = ................................

Área do retângulo 2 = ................................

Área da figura = .........................................






12) Escreva a expressão algébrica que representa:

a) a soma do número real m com o número real n. ..................................

b) a diferença entre o número real x e o número real p. ...........................

c) a soma do quadrado número real x com o dobro do número real y. ..........................

d) a o triplo do número real a aumentado do número real b. ...........................

e) o produto do cubo do número real x com número real y. .............................

f) o produto do cubo do número real a com o quadrado do número real x. ..........................

g) o quociente do número real a pelo dobro do número real c. ................................

h) o quociente do quadrado do número real x pelo cubo do número real y. ........................

i) a diferença entre quádruplo do número real x e o quadrado do número real y. ...................

j) a diferença entre os quadrado dos números reais r e s. ................................


13) As figuras seguintes nos mostram um paralelepípedo retângulo e sua planificação ( o paralelepípedo "desmontado"). escreva uma expressão algébrica para indicar a área de cada face do paralelepípedo e, a seguir escreva a expressão que representa a área total desse paralelepípedo.












Área da face 1 .............................                     Área da face 4 .............................

Área da face 2 .............................                     Área da face 5 .............................

Área da face 3 .............................                     Área da face 6 .............................

Área total do paralelepípedo: ...................................................


14) Identifique com inteira ou fracionária cada uma das seguintes expressões algébricas:







15) Identifique com racional ou irracional cada uma das seguintes expressões algébricas:








Respostas:

01) respostas pessoal

02) resposta pessoal

03) x + 3y

04) 3x + 2y

05) 3a + 2b

06) 20x + 7

07) 10 - 5x

08) a + 4l

09) 35 - y

10) n + 9

11) x²    xy         e          x² + xy

12) a)  m + n              b) x - p                c) x² + 2y              d) 3a + b              

      e) x² . y               f) a³ . x²                g) a : 2c   ou a/2c    h) x² : y³ ou x²/y³            

       i) 4x - y²            j) r² - s²

13)  1 = ab            2 = ac       3 = ab            4 = ac          5 = bc                6 = bc

       Área total = 2ab + 2ac + 2bc

14) 

a) inteira

b) fracionária

c) fracionária

d) inteira

e) inteira

f) inteira

g) fracionária

h) fracionária

15) 

a) racional

b) racional

c) racional

d) irracional

e) irracional

f) irracional

g) racional



      



Exercícios sobre propriedades das potências de números inteiros positivos e negativos

01) Utilize a propriedade do produto de potências de números inteiros de mesma base e reduz a uma só potência: 






02) Utilize a propriedade da divisão de potências de números inteiros de mesma base e reduz a uma só potência:







03) Utilize a propriedade da potências de potência números inteiros  a uma só potência:






04) 









05) Decomponha as potências seguintes num produto indicado de duas potências de mesma base:






06) Calcule o valor das expressões:






07) Sabendo que:

,determine o valor de a.

08) Resolva as seguintes expressões:








PARA SABER MAIS SOBRE PROPRIEDADES DAS POTÊNCIAS ACESSE O LINK ABAIXO E ASSITA O VÍDEO:


https://youtu.be/_uGOoTCj774


Respostas:

04) b) + 15.625                   c) - 125                 d) - 78.125

05) b) 65.536                    c) - 3.125                  d) 1.024

06) a)  203                    b) - 130                   c) - 147              d) - 83

07) - 78

08) a) 57                     b) 25                     c0 42



Exercícios sobre potências de números inteiros positivos e números inteiros negativos

01) Identifique a base e o expoente da potência:


 



02) O sinal da potência  é ..............


03) Um número inteiro a é igual a ( + 37 )³. esse número a é positivo ou negativo? ....................


04)

............................

05) Complete as sentenças com as palavras positivo, negativo ou um, de modo que elas sejam verdadeiras:

a) Um número inteiro positivo elevado a zero é igual a  ..............................

b) Um número inteiro positivo elevado ao cubo é um número inteiro  ..............................

c) Um número inteiro negativo elevado ao quadrado é um número inteiro    ..............................

d) Um número inteiro negativo elevado ao cubo é um número inteiro  ..............................

e) Um número inteiro negativo elevado a zero é igual a  ..............................


06) Determine as seguintes potências:










07)  Calcule o valor das seguintes expressões:









Respostas: 

01) 
a) base + 21             expoente 3

b) base - 1                expoente 8

c) base + 83             expoente 0

d) base   - 195        expoente 4

02)  +

03) positivo

04) número inteiro negativo

05) 
a) um
b) positivo
c) positivo
d) negativo
e) um

06) 
a) - 1000

b) + 225

c) - 1

d) + 289

e) + 64

f) + 1.331
                  
g) + 1

h) 2.025

07) 

a) 81

b) - 125

c) - 30

d) 1

e) 0

f) - 1.000